DSP+FPGA在高速高精运动控制器中的应用
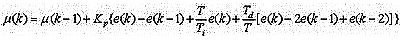
| PID算法离散化才能使用。又由于系统的存储空间有限,算法的存储空间开销不能太大,所以采用了离散化的增量式PID算法。该算法在运算过程中只需要保留最近3次的误差数据,就能够推导出下一次的输出量,节省了大量的数据空间,提高了运算速度,有很强实用价值。 公式如下: ![]() μ( k ),μ( k-1 )分别是k和k-1时刻的输出量,在系统中体现为DA的输出量。 e( k ),e( k-1 ),e( k-2 )分别是k,k-1,k-2 时刻的偏差值,在系统中体现为该时刻实际位置与目标位置的偏差。 T,Td,Ti,Kp是PID公式的常量,不同的数值代表着PID系统的微分、积分、比例调节作用的强度和效果。 3、小结 在开放式数控系统中应用基于DSP+FPGA的运动控制卡,DSP承担了CNC系统中实时性要求较高的模块功能。利用DSP高速运算能力和实时信号处理能力,采用先进的Bspline插补算法,使该DSP运动控制卡具有高速、高精度的性能,结合FPGA芯片的先进技术,使该运动控制卡的集成性、可靠性大大提高。本运动控制卡目前是基于ISA总线设计的,今后将考虑把该系统移植到PCI总线上,将能进一步提高系统的处理速度能力,适应更高要求。 |

