现场总线系统抗干扰的实现与应用
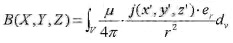
| 1 引言 由于计算机技术、微电子技术、通讯技术等在自控领域广泛应用,抗干扰技术就更显得尤为重要。实际生产现场环境极其复杂,对自控系统产生的干扰已经成为不可能回避的问题。作为控制系统重要组成部分的现场总线,处在复杂的现场环境中,不可避免地存在各种各样的干扰,因此,提高现场总线的抗干扰能力,是控制系统高效运行的重要因素。 随着根据国际电工委员会IEC1158定义,安装在制造或过程区域的现场装置与控制室内的自动控制装置之间的数字式、串行、多点通信的数据总线称为现场总线。当今全球最流行的现场总线有FF总线(Fieldbus Foundation)、Profibus、Modbus等。不管哪一种现场总线,在介质上传输的都是数字信号,由于干扰噪音的原因,使得“1”变成了“0”,“0”变成了“1”,从而影响到现场总线的性能,甚至于现场总线不能正常工作。不管从理论分析,还是从经验获得,现场总线的抗干扰能力均低于4-20mA模拟电流信号,研究并解决现场总线的抗干扰问题非常重要。 2 现场存在的干扰源 (1) 传动系统 是现场最大的干扰源。传动系统的总负荷,约占水处理车间总负荷的1/3以上,在系统的整流和逆变中,大功率电力电子元器件不定时的进行高速开和关的转换,产生大量的高频电磁波,污染整个车间,并且产生大量高次谐波,污染工频电网。 (2) 变压器、MCC柜、电力电缆和动力设备 这些设备均为工频,频率较低,干扰一般发生在近场,而近场中随着干扰源的特性不同,电场分量和磁场分量有着很大差别。特别是动力设备启动时,瞬间电流能够达到额定电流的6-11倍,会产生大电流冲击的暂态干扰。 (3) 来自工频电源的干扰 工频电源波形畸变和高次谐波,若未加隔离或滤波,便会通过供电系统而进入控制系统,从而影响整个现场总线。 (4) 导线接触不良产生的火花、电弧等; (5) 三相供电不平衡产生的地电流、屏蔽层不共地产生的接地环流。 2.2 干扰的传播途径 (1) 由导线来传输,称为传导干扰。说处理车间的现场总线中,主要表现为地线阻抗干扰和来自工频电源的干扰。 (2) 通过空间以辐射的形式来传输,称为辐射干扰。 3 现场总线的抗干扰措施 3.1 抗远离干扰源 空间中任一点的磁感应强度B,服从毕奥-萨伐定律,见下式:
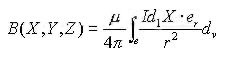
式中: μ:磁导率,H/m; dv:源点周围处的体积元,m3; r:dv到场点(x,y,z)的距离,m; er:源点指向场点的单位矢量。 对于线形电流I,由Jdv=Idl,得:
式中: dl—源点附近的长度,m 式(1)适用于用电设备周围的磁感应强度,式(2)适用于动力电缆周围的磁感应强度。可见,水处理车间的动力设备和电力电缆对现场总线的干扰,与距离的平方成反比,即随距离的增大,干扰衰减非常快。所以,现场总线设备远离用电设备,现场总线电缆与动力电缆分层桥架布置,都能起到很好的防干扰作用。远离干扰源,是防止辐射干扰的重要措施。 3.2 现场总线设备和电缆的屏蔽 随着现场总线屏蔽的机理,一是外来电磁波在金属表面产生涡流,从而抵消原来的磁场;二是电磁波在金属表面产生反射损耗,另一部分透射波在金属屏蔽层内传播过程中,衰减产生吸收损耗。现场总线的屏蔽是利用由导电材料制成的屏蔽并结合接地,来切断干扰源。 3.3 采用UPS电源或隔离变压器 采用UPS电源或隔离变压器可防止来自工频电源的干扰。 3.4 采用光缆传输信号 随着在现场总线传输速率高、传输距离远、干扰大的情况下,尽可能地采用光缆。采用光缆后,能够解决辐射干扰和传导干扰的众多问题。若在不共地两点之间,或者在接地状况很不好的情况下,采用光缆传输现场总线信号,可有效防止接地环流等干扰。特别是车间的自动控制系统与电机传动、MCC之间,容易存在接地电位差,或接地环流,要特别注意,选用光缆优于选用双绞线。 |


