基于98单片机红外遥控通信的智能化砂轮自动平衡系统
磨削作为机械加工的重要组成部分,是精密的超精密加工的重要手段。而砂轮不平衡量引起的振动对磨削过程有很大的影响,严重制约着磨削表面质量和精度的提高。传统的砂轮平衡方法是静平衡,这种脱机的平衡方法不方便,而且受平衡导轨精度、平衡芯轴圆度、摩擦力及操纵者技术水平的影响,平衡精度受到一定限制,而且要花费很多时间,尤其是对精密和超精密磨削需要分初平衡、精平衡,并经过多次拆装砂轮,平衡时间长,使用也不方便。此外,这种方法最大缺陷是未能考虑到由于砂轮本身材质分布的不均匀,在磨削过程中砂轮表面磨损以及吸附冷却液不均匀造成新的不平衡这个显著的影响。因此,在精密和超精密磨削以及磨削自动化的发展过程中,砂轮在线动平衡成为一项不可或缺的关键技术,在生产中有着重要的意义和广泛的前景。在现有的在线动平衡装置中,国外的系统平衡精度不高、结构复杂、自动控制方面还有很大差距,不能满足生产需要。 笔者研究了一种新型智能化砂轮在线自动平衡系统。该系统以98单片机为控制核心,通过检测砂轮旋转时不平衡量引起的振动信号并进行数据处理,由自动搜索控制算法确定不平衡量的大小,然后通过98单片机双机红外遥控通信的方式,控制跟随砂轮高速旋转的平衡头内的平衡块移动对不平衡量进行补偿。该项目研究的目的是开发一种适用的智能化砂轮在线自动平衡系统,提高平衡精度和效率,为磨削过程自动化提供一种有效的手段。
试验研制的智能化在线自动平衡系统的原理如图1所示。 系统首先由安装在砂轮头架上的压电式加速度传感器检测砂轮不平衡引起的振动量,压电效应产生的电荷形成微弱的电动势,再由电荷放大器将微弱的电动势转变成较强的电压信号,通过带通滤波器进行检波,分离出由砂轮不平衡量引起的振动信号,滤掉干扰信号,接着进行电压放大,使其与A/D转换器输入电压相匹配,然后进入采样保持器,通过A/D转换,将模拟量变成数字量送入98单片机控制系统。单片机控制系统可以进行数据处理,计算并显示振动幅峰值,然后可以进行在自动平衡方式下按照控制策略发出控制信号进行自动平衡,或者在手动平衡方式下通过键盘发出控制指令进行平衡。 为了完成平衡操作,需要将控制信号传至平衡头对执行步进电机进行控制,对平衡块位置进行相应的调整。对高速旋转的平衡装置,控制信号的传输是一个关键问题。目前广泛采用的是集流环方式,其主要缺点是使用过程中的无功磨损。因为砂轮的实际平衡时间很短,在不进行平衡操作时,集流环仍在磨损。为了克服这个缺点,本系统采用了红外遥控的方法。为克服红外信号发射有方向性且只能覆盖一定区域的缺点,试验将红外发射和接收管都装于主轴的轴心线上。这样可以接收到较强的信号,同时可有效地防止其他信号的干扰,提高系统的可靠性。 红外遥控传输的信号是串行方式,为了把98单片机发出的控制指令由并行变为串行方式,本系统中控制信号的传输与接收采用了98单片机之间的串行通信方式。地面控制系统中的单片机(主机)通过串行口发出控制信号,驱动红外发光二极管,将数字信息变成串行红外脉冲信号发射出去,红外检波放大器将红外信号还原为数字信号,送至平衡头中单片机(从机)的串行口输入端,经解码处理还原成控制指令,作出相应的控制。从机一方面接收和解码串行控制信号,另一方面以软件实现环形分配器的方法,给步进电机提供控制信号,驱动其正常工作。 为提供平衡头中控制系统的电源,在平衡头中安装了一台微型交流发电机,输出的交流电压通过整流、检波、稳压得到稳定的电源,与红外遥控系统一起完全避免了使用集流环带来的缺陷。
1-外壳;2-锁紧螺母,用来固定砂轮;3-连接法兰盘;4-底座,用螺钉固定在连接法兰盘上,步进电机和精密丝杠也装在底座上;5-发电机的永磁定子,位置固定不动;6-红外接收管,装在轴线处接收红外信号,并提供给接收机以控制步进电机的动作;7-接收器电路板;8-发电机的转子线圈
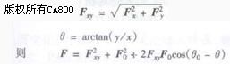
其工作过程:砂轮转动时,发电机转子线圈同轴转动,由于定子磁场固定,线圈切割磁力线产生交变电流,通过整流、滤波、稳压变成直流电源,提供给平衡头内的控制电路和步进电机使用。此时,平衡头内部的单片机系统上电复位,开始检测有无红外控制信号。当主机发出控制信号时,通过红外遥控使从机从串行口接收到控制信号,从机运行控制程序输出控制两个步进电机动作的控制信号,驱动丝杠转动使和平衡块连在一起的螺母移动,从而实现对砂轮不平衡量的自动补偿。 2、控制系统软件 要实现砂轮在线动平衡,需要自动检测、处理数据,并通过软件的控制规则自动判断平衡与否,然后发出控制信号,驱动执行机构对不平衡量进行补偿。这里的核心内容是微处理器系统作为智能单元去完成整个平衡过程控制以实现智能化。 平衡装置的配重是两个在垂直交错的精密丝杠上移动的螺母,平衡操作通过两个步进电机带动精密丝杠转动,使两个螺母沿径向直线移动,产生的离心力合成矢量与砂轮固有不平衡量产生的离心力矢量大小相等、方向相反,从而实现砂轮平衡,如图3所示。 图中,Fxy是两个配重螺母形成的离心力Fx和Fy的合成矢量,F0是不平衡量形成的离心力矢量,F是Fxy和F0形成的合成矢量。
根据上式的右端,只有x、y是变化的,其他参数均固定不变,因此不平衡离心力F只是x和y的函数;而砂轮架振幅A与不平衡离心力F成比例,所以得到 A=f(x,y)
其中,d为沿坐标轴正向的最大移动距离;这是一个以平衡块在垂直轴上移动位移x,y为变量,不平衡振幅为目标函数的最优控制问题。 控制策略 平衡时,可以从任意初始点(x,y)出发,以x,y使不平衡振幅不断下降的方向搜索,直到振动量不再下降为止。 为了加快搜索过程,这里采用了加速步长与最优步长相结合的控制算法。平衡时,先对x或y规定沿s方向的初始试验步长h,并用来搜索跨步方向,当xi=xi-1+hs时,满足fi(xi,yi) 分别沿x,y搜索一步,再根据出现情况步长减半,方向不变或步长减半,方向也变继续搜索,直到缩减到单位步长,振幅不再下降时,停止搜索,此时即为能够达到的平衡点。 2.2软件设计 本系统的软件采用模块化设计,由以下几个部分组成:主程序、采样模块、数据处理模块、显示模块、键输入模块、键处理子程序模块、串行发送模块以及串行接收模块等。其中键处理子程序模块是系统软件控制算法的核心部分,粗平衡过程采用加速步长法,精平衡过程采用最优步长法实现。 3、实验结果
4、结束语 该系统进行的实验表明:显著地降低了振动,效果良好,因此具有较为广阔的应用前景,能产生很大的经济效益。 |







