大功率高压变频在杏南注水系统中应用实践
摘要:本文对高压变频工作原理进行了简要阐述。根据杏南开发区注水系统的实际能耗状况,提出了在杏五注水站采用高压变频器拖动注水机泵,实现注水量的无节流调节,减小泵管压差,降低本站泵水单耗,在保证油田配注要求前提下,通过优化开泵方案,利用高压变频器,依据注水管网需要的压力或流量进行参数设定,降低杏南开发区注水系统的能耗。分析杏南开发区生产运行数据,评价高压变频在降低注水系统单耗方面所能发挥的作用和产生的经济效益。指出利用高压变频不但可以降低单站的注水单耗,同时还可以作为一种技术手段,降低注水系统的能耗。 1 高压变频应用系统概述 目前,杏南开发区注水系统已建成注水站8座,安装注水泵23台(D300-150型8台,D280-160型4台,D250-150型8台,D200-150型3台),注水能力75000m3/d,注水井1599(基础井855口,调整注水井692口,三次加密井52口)。 分析杏南开发区注水系统实际状况,除了存在正常注水与测试、洗井、钻关等用水之间的矛盾之外,还存在正常注水与水源供水量不足之间的矛盾。上述两种矛盾使注水系统的注水量波动较大,运行工况十分复杂。为了适应注水量的波动,只能通过调节注水泵出口阀门来控制流量,人为的增加了管网阻力,造成相当大的能量浪费在阀门上,从而导致注水泵管网与系统注水方案之间匹配不合理,泵管压差较高,注水单耗较大。调查结果表明,杏南油田注水系统平均泵压为15.6Mpa,管压为14.8Mpa,泵管压差为0.8MPa,平均泵水单耗5.70kWh/m3。个别站的泵管压差在1.4MPa以上。由此可见,泵管压差大是造成杏南油田注水系统能耗的主要因素。 杏五注水站建有D300-150×11注水泵2台,电机功率2240kW,日平均注水量8500m3。注水单耗在5.70kWh/m3。杏南开发区注水管网相互联通,杏五注水站处于注水管网的中枢位置,对整个注水系统影响较大,在这里安装高压变频,可以实现泵的无节流调节,降低泵管压差,而且可以利用高压变频调节灵活的优势,最大限度发挥其系统节能效率。 2 高压变频装置应用与节能原理 (1)高压变频应用方案 杏五注水站采用PowerFlex7000型变频器,是AB公司的第三代电流源型高压变频器,采用风冷散热,满负荷变频系统效率98%(不包括隔离变压器),输出额定电压6.5kV,额定电流250A,变频器进线侧采用18脉冲整流器,前端安装隔离变压器根据移相原理来衰减低次谐波。符合IEEE519-1992规范要求,不会对电机或电源产生谐波影响。逆变侧采用SGCT(带集成门极驱动器的可关断晶闸管)作为功率元件,与传统的功率元件相比,开关频率更高,提高了变频器性能和性价比,减小了变频器体积。变频器采用了PowerCage设计方式,将主要功率器件以紧凑的模块化形式集成于一体。先进的散热器设计,确保了高效的热传递且降低了热损伤,使得维护更加便捷。 杏五注水站两台注水泵采用一用一备的运行方案.电力主回路如图1所示,变频采用单电源一拖二结构,任何时候只能有一台电机由变频拖动,另一台为备用状态或工频运行。工频与变频切换采用手动的方式,变频器采用就地和远程两种启动和调节方式。
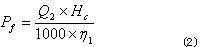
图1高压变频主回路控制图 (2)高压变频的节能原理分析 目前油田注水泵的流量调节通常采用改变泵出口阀门开度的方式,实质是改变管路特性曲线的位置来改变泵的工作点,如图2所示,这种方式存在较严重的节流,人为增加了注水损耗。 根据离水泵的特性曲线可知,当注水泵采用工频运行时,随着泵出口阀门开度减小,管路特性曲线R1向左移动到R2,R1与R2之间可以得到一组曲线。当按照需要流量Q2固定阀开度后,泵的工况点由A沿着H-Q(g)左移到B点,泵排出阀上多消耗压头△H。从图3的效率曲线可以看出,随着闸阀开度的减小,泵效逐渐降低,工作在B点时,泵效为。 变频调速不改变管网特性曲线,而是通过调整泵的转速改变流量,油田注水泵应用的变频调速一般都是通过降低电源的供电频率实现调速,所以变频调速基本都是使泵在低于额定转速下的调速。随着速度的降低,我们能够得到一组从工频特性曲线H-Q(g)下平移的泵特性曲线H-Q(f)。如图3所示,在某一变频调节的情况下,电机转速调低,使流量Q2相交于泵特性曲线H-Q(f)于C。显然,此时泵排出阀开度不变,泵出口阀门上没有压头损失,还降低了压头,与阀门节流相比节约压头,根据泵特性,在运行转速与额定转速变化不大的情况下,泵效曲线可平移到。 相同流量条件下单泵工频状态闸阀节流调节与变频调节的功率比较由电动机轴功率计算公式: 出口阀节流调节时电动机输入功率:
变频调节时电动机输入功率:
式中: Q2:泵节流排出流量(m3/s); Hb:闸阀节流泵的扬程(m); Hc:变频状态泵扬程(m); η2:闸阀节流泵效; η1:变频调速泵效; 式(1)-式(2):
由此可得相同流量条件下,单泵变频调速控制流量较工频下闸阀节流调节减少了功率消耗的定论。显然,变频调速节能主要原因是消除了泵排除阀节流所引起的压头损失()和泵始终处于高效区运行,从而减少了电动机输入功率。从图3中可以看出,使用变频调节后,在其它站的阀门开度不变的情况下,注水量减少Q2-Q1,但是可以通过开大其它注水泵的出口阀门的方法弥补因变频调速时减少的水量,达到注水系统总注水量不变。
图2注水泵性能曲线图 可以进一步分析变频调速在各种情况下对离心泵运行功率的影响。由于工频状态下闸阀节流调节均使管网特性曲线由额定工况点A左移,因此可以得出闸阀节流调节均存在泵排出阀压头永远大于,而变频调速时泵的工况点均在管网工作特性曲线上A下面的各点,所以总是存在Hb>Hc,又由于变频调速不改变管网特性,所以变频调速均使泵工作在高效区,即在变频器正常调节范围内总存在η2>η1。 根据式(3),则均有△P>0成立,由此可以推论:变频调速在相同排量下均较闸阀节流调节节能。 3 高压变频应用情况 (1)变频运行前后杏五注运行效果分析
表1杏五注水站变频运行前后数据 表1是杏五注变频运 |






