摘 要:对距离保护元件,由于存在过渡电阻,单侧电源线路短线路经出口故障或双侧电源的线路故障,容易引起距离保护拒动或误动。本文分析了过渡电阻对距离保护工作的影响,探讨了接地及相间距离继电器这种受过渡电阻影响较大的元件阻抗圆特性躲过渡电阻能力改进,以及几种较好的躲过渡电阻特性。论文指出将这些特性组合起来将具有很好的躲过渡电阻的能力。
引言 电力系统中短路一般都不是金属性的,而是在短路点存在过渡电阻。此过渡电阻的存在,将使距离保护的测量阻抗发生变化,可引起保护的超范围动作或使保护的范围缩短,从而导致保护的误动或拒动。实际的距离保护装置通常需考虑过渡电阻引起的后果。本文对过渡电阻的影响以及各种较常用的距离保护元件如何躲开过渡电阻的影响进行了分析与研究。 1 过渡电阻对距离保护工作的影响 1.1对单侧电源线路的影响 过渡电阻[1]一般呈电阻性,对单侧电源线路(图1所示),保护装置距短路点越近,受过渡电阻影响越大;同时保护装置整定阻抗值越小,受过渡电阻影响越大。因此,对短线路出口经过渡电阻短路时,由于继电器测量阻抗增大,很可能使保护拒动。如图1所示,母线A侧保护出口处经过渡电阻Rg短路,当Rg较大时,测量阻抗超出特性圆范围,保护拒绝动作。 
1.2对双侧电源线路的影响 对双侧电源的线路(图2所示),由于对侧电源的助增,过渡电阻的影响呈容抗性,可能使保护的测量阻抗减小,进入保护的动作范围,为对侧电源助增引起的超越现象。设B母线出口处A相经过渡电阻接地短路,A母线保护测量阻抗为:
 
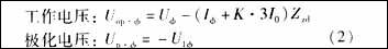
2 受过渡电阻影响的元件躲过渡电阻能力改进[2,3] 2.1三段式接地距离继电器 (一) Ⅲ段接地距离继电器  式中:U1φ为正序电压。φ为A,B,C。该特性圆(如图3所示)是以|Zs+Zzd|为直径的阻抗圆,包含原点,说明正方向出口经过渡电阻短路故障时能正确动作。


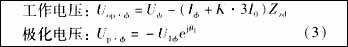
(二)Ⅰ、Ⅱ段接地距离继电器 (1)由正序电压极化的阻抗继电器  式中:U1φ为正序电压,该极化电压引入移相角φ1,短线路应用时,将方向阻抗继电器特性向第一象限偏移,以扩大允许过渡电阻的能力。φ1可取0°,15°,30°,45°(如图4特性圆0,1,2,3所示)。由于在对侧电源助增下可能超越,所以引入零序电抗继电器以防止超越。
(2)零序电抗继电器  其中;β0=arg(I0/Iφ+k.3I0));当I0、Iφ同相时,直线A(如图4所示直线A)平行于R轴,不同相时,直线的倾角为I0与(Iφ+k.3I0)的相角差。设I0与过渡电阻上压降同相位,则直线A与过渡电阻上压降所呈现阻抗平行,因此,该特性对过渡电阻具有自适应的特点。实际电抗特性下倾12°,从而保证与过渡电阻上压降不同相位时,继电器仍不会超越。
当由正序电压极化的继电器和零序电抗继电器两特性阻抗继电器同时动作时,Ⅰ、Ⅱ段接地距离继电器动作,该特性能测量很大的过渡电阻且不会超越。 2.2三段式相间距离继电器 三段式相间距离继电器特性类似于三段式接地距离继电器,下标φφ表示AB,BC,CA,(偏移角)可取0°,15°,30°,也是在短线路应用时增加允许过渡电阻的能力。 
3 几种较好的躲过渡电阻特性[4] 3.1多边形继电器特性 多边形继电器特性包括四边形及五边形特性及类似的特性,它们具有较好的耐受过渡电阻的能力。对于图5五边形特性中线4为克服线路末端故障时过渡电阻的影响,可在R轴方向独立移动以适应不同数值的过渡电阻。线2要保证出口经过渡电阻短路时能可靠动作。值选择应能躲线路末端故障时的超越现象。对短线路,R值较小,易受过渡电阻影响,可加大R/X比值,增强其允许过渡电阻能力。图6特性类似于图5。对于图7所示特性,线1为零序功率方向线,线2为负荷阻抗圆,线3采用改进型零序电流极化的电抗特性,可解决超越、缩范围问题。

3.2工频变化量方向元件 用测量电压,电流故障分量的相位角作为正、反方向元件测量相角。 正方向元件测量相角:  式中:下标φφ可表示AB,BC,CA,也可表示12,12表示该电气量为正负序综合分量。Zd为模拟阻抗,其阻抗角与线路阻抗的相位角一致;Zcom为补偿阻抗。
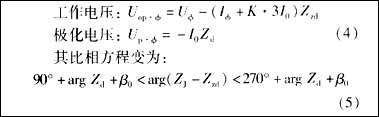
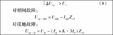
由于比相在系统正序阻抗和固定的继电器模拟阻抗间进行,而过渡电阻不影响方向元件的测量相角,所以这种比相方式基本不受故障点的过渡电阻和对侧电源助增作用的影响。另外,由于方向元件不受负荷电流的影响,因而该方向元件可允许测量很大的故障过渡电阻。 3.3 工频变化量距离元件 工频变化量距离元件动作方程式为:  式中:UZ为整定门槛,取故障前工作电压的记忆量。Zzd为整定阻抗,一般为0.8-0.85Z1;ZJ在阻抗平面上是以-Zs末端为圆心,以|Zs+Zzd|为半径的圆。当ZJ末端落在圆内时动作,可见这种阻抗继电器有较大的允许过渡电阻的能力。且由于△I一般与△In同相位,过渡电阻影响始终呈电阻性,于R轴平行,因此不存在对侧电流助增引起的超越问题。

4 结束语 以上讨论了各种圆与直线的动作方程与特性。这些特性已普遍应用于LFP,WXB,WXH等各种装置中,并已取得较好的效果。可见,将圆与直线特性结合起来,会取得很好的躲过渡电阻能力。如今保护使用微机装置后,只需在软件中修改添加即可得到我们所需的功能,对保护装置性能进行改善。过渡电阻是继电保护领域常见的一个元素,它对于保护的正确动作及故障正确测距起着重要作用。 |