配电网合环操作环流分析系统的开发和应用
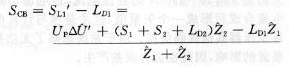
| 引言 随着国民经济的发展,双向供电成为常用的供电模式。配电网一般采用闭环设计、开环运行的供电方式。在倒负荷或线路检修时,通过合、解环操作可以减少停电时间,提高供电可靠性,但由此引起的环流,对配电网的安全运行有很大的影响[1]。若通过潮流计算对合环系统进行分析和计算,有助于运行人员对地区电力网络的运行方式进行适当的调整,从而保证用户利益,减少停电损失。 苏州地区电力负荷密度大,电网结构复杂,双向供电模式多,用户对电网的供电可靠性要求较高,合环操作频繁。针对这一特点,我们开发了苏州配电网合环分析系统,它结合实际合环操作的需要,对苏州地区的部分线路和厂站进行了适当的简化,对可能的合环路径进行分析,从潮流的角度给运行人员以依据,从而快速、准确地找出最佳合环路径,达到预期目的。可见,系统的开发有重要的实际意义。 1 系统研制 1.1 系统设计 苏州配电网合环分析系统的设计目的主要在于:运行调度人员在合环操作前,可以根据合环操作的需要在系统中进行潮流计算,根据合环分析系统提示的信息进行操作。为了提高计算的精确性,合环分析系统在进行潮流计算时,不仅包含了与合环线路直接相关的线路信息,而且包含了整个苏州电网,将供电网和配电网全部考虑进去。 由于苏州地区电网结构复杂,为了使用户的实际操作更为方便,在系统构建前,根据苏州电网的特点和实际可能的合环线路,在保证工程计算准确的前提下,对整个苏州地区的电力网络进行适当的简化,选择了40多个重要的厂站组成电网接线图。其中包括:望亭电厂、阳山变、金山变、狮山变、苏州变、宝带变、葑门变、寒山变、枫桥变、彩虹变、胥门变、竹辉变、园区变等。 针对配电网变化多、合环操作复杂的特点,系统引人合环模板的概念,即预先定义好几个常用的合环形式,如两条10kV馈线合环操作的模板,20kV馈线合环操作的模板等。当分析某两条馈线合环时,只要调入合环模板,选择合环馈线所在母线,输入必需的线路参数和负荷参数即可进行合环计算。这样,一个模板适用多种合环操作,用户使用十分方便。 我个1采用面向对象的方法进行系统设计。在集成的VC++6.0[2]开发环境下,对系统进行编程、调试,使系统易扩充、易维护。网络所需参数及运行结果存储于Access数据库中,用户可方便地通过系统对数据库进行修改和维护。 1.2 系统组成 苏州配电网合环分析系统主要由两个子系统组成,即绘图及系统维护子系统、合环计算分析子系统,并提供相关帮助。 a、绘图及系统维护子系统 该子系统提供了多种电力系统常用图元,如断路器、变压器、负荷等,以此绘制苏州地区系统接线图和各个厂站内部接线图。这样可以全面地反映电网的总体情况,为合环计算分析准备了必要的数据。 b、合环计算分析子系统 该子系统为用户提供了合环前校核合环电流大小的手段,给出了合环前后的电压水平和合环后的电流情况。在合环电流超过400A时,系统将提示“电流越限!”,予以警告。 合环分析系统提供了正常方式下的电网运行工况(即基本工况)。这样,用户可以将不同的运行方式存为不同的工况(如最大负荷情况、高峰负荷情况等),调入不同的工况可计算出不同工况下的合环电流。 针对配电网合环的特点,该系统给出了常用的合环分析模板。用户可以根据需要用绘图及系统维护子系统在系统图中添加新的厂站,完善系统;也可在系统图中定义新的合环分析模板,便于进行相关馈线的合环计算。 1.3 计算模型 配电网合环分析系统的基础是潮流计算。常规潮流计算的任务是根据给定的电力网络结构及运行条件求出整个网络的运行状态,包括系统各节点(母线)的电压、线路上的功率分布以及功率损耗等。由于潮流计算的已知量与待求量之间是非线性关系,所以,潮流计算问题在数学上是多元非线性代数方程组的求解问题,一般采用迭代方法计算。 合环计算既涉及地区电网,又涉及配电网。由于不易获得完整的配电网结构参数和运行参数,因此,如何使计算方法及结果满足工程实际的需要,是配电网合环分析系统研制的关键,也是难点。 图1所示为一种典型的合环情况。 合环前,设变压器高压侧母线电压分别为U1,U2;低压侧母线电压为UP1,UP2;变压器阻抗分别为Z1,Z2;变压器高压侧流进的功率为SH1,SH2低压侧流出的功率为SL1,SL2(分别对应低压侧母线上所接的两个负荷SL1=S1+LD1,SL2=S2+LD2;LD1,LD2为合环线路负荷;S1,S2为合环变压器其他线路负荷)。合环后,设变压器高压侧母线电压分别为U1'',U2''低压侧母线电压为UP;变压器高压侧流进的功率为SH1'',SH2'';低压侧流出的功率为SL1'',SL2''。 经过推导与计算,得出合环功率SCB和电流ICB的表达式如下: ![]() ![]() 另外。配电网合环时负荷模型的处理与配电网的特点有关。配电网运行中负荷节点多,往往呈梳状结构,而且一般无表计实时记录负荷。为了使潮流计算更好地反映实际运行情况,需对配电网负荷进行合理分析。一般为了计算方便,配电网负荷往往简单地归结于一点,这样虽简化了计算,但模型不够精确。本系统在建立负荷模型时,充分考虑了配电网负荷梳状结构的特点,让负荷均匀分布于配电网线路上,再利用数学方法进行负荷移置,便于潮流计算,也提高了精度。 以理论分析为指导并通过实际测试,可找出影响合环潮流和合环电流的实际因素,即:合环馈线所在变压器高压侧及低压侧电压,合环馈线的负电网当时的运行工况(线路参数、负荷、变压器分抽头位置),合环馈线所在变压器的总负荷,合环前馈线所属母线电压,合环线路参数及负荷等。 通过以上数据,系统可在合环前自动进行电压调整,从而使合环前的潮流情况和电压水平与实际基本一致,保证了合环计算的准确性。并且,在合环操作之前,系统提供了合环路径的校验,从操作角度给运行人员以依据。 2 系统特点 2.1 模型合理 配电网合环分析系统建立了与合环有关的苏州地区接线图和厂站接线图,既方便了合环分析,也为计算提供了较为精确的系统参数。 通过理论分析和大量计算,本系统确定了合理的合环馈线的负荷模型,算例结果表明,准确率较高,满足工程要求。 2.2 实用性强 该系统针对配电网的特点和配电人员的需求而开发。调度人员能够根据不同的配电网供电模式创建不同的模板,进行合环计算。系统计算合环潮流的结果能够有效地反映当前的运行情况,而且数据结果直观明了,不仅显示在相应的配电网合环图上,调度人员也可以通过数据表格进行浏览。 该系统的操作方式适合于调度人员及配电系统的特点。在系统数据录入时,调度人员只要输入设备的基础数据,如型号、长度等参数,电气参数计算由系统自身完成。针对配电网数据的特点,调度人员可以输入负荷电流大小、电压水平、功率因数,从而代替线路的有功、无功负荷数据进行计算。 调度人员通过方便的绘图工具及丰富的基础数据库,可以很容易地建立、维护系统数据库。而树型菜单、快捷键的设计,为分析、计算提供了有效的手段。 3 算例分析 从表1的计算结果可以看出,本系统的计算准确率较高,满足工程要求。但在实际应用中,难免会有误差。误差的来源包含多个方面。 3.1 地区电网的运行状况 由于电网运行工况断面不易获得,所以系统在很大程度上无法与实际运行状况相匹配,主要有以下影响因素: a.变压器分抽头位置 变压器分抽头位置在实际运行操作中经常变动,但记录数据往往被忽视。实际上,对于合环馈线来说,其所属变压器的阻抗(由分抽头位置和变压器型号决定)对合环电流的大小有很大影响。 在变压器投运后,其阻抗大小由分抽头位置决定,合环电流的大小与分抽头位置有关。由计算分析可知,若变压器抽头位置改变一个挡位,会引起几十安的电流变化。由于无法得知实际的抽头位置,所以系统默认其在出厂参数的。挡位置,这样势必带来误差。 b.电容器的投切 在实际运行中,电容器的投切往往是成组进行的,而一组电容器的大小是3000Var或3600Var,大约是160 A-190 A的容性电流,该电流与感性电流合成后形成一个矢量值,这才是参与计算的合环变压器其他线路负荷。由于系统忽略了无功补偿装置的影响,因此也会有误差产生。 c.功率因数 由于在实际运行时,测得的大多是电流值,不是P,Q值,这样就需要用电流值和功率因数推导出P,Q的大小,而功率因数也非实测值,所以,功率因数的准确与否对合环计算的误差有一定影响。 3.2 馈线负荷分布 配电网是直接面对用户的电力网络,它的负荷分布大致是均匀的,所以,系统所用的负荷模型将负荷位置置于中间。但在实际情况下,负荷位置处在靠前或靠后的地方,这就需要运行人员对实际的运行情况有所了解,从而得到较为准确的负荷位置,才能有更为准确的计算值。 3.3 数值计算的精度 由于在该系统中,计算机处理数值部分用的是单精度的处理方法,即精确到小数点后6位,不断累加后,误差必然增加。双精度的处理方法将提高系统计算的准确度。 综上所述,影响系统计算精度的因素是多方面的。根据实际情况,该系统在计算模型上采取了一定的措施,如电压的自动调整、负荷位置的选择等,保证了实际工程的准确度,用户使用起来也很方便。 4 结语 苏州配电网合环分析系统结合苏州地区的电力结构特点,从潮流的角度对合环操作进行指导。其计算模型合理,结果准确,界面友好,使用方便,为生产调度部门提供了有效的工具,在苏州调度现场投运后受到用户好评。 通过对该系统的开发和研制可以看出,合环操作虽然在配电网上进行,但它与供电网有着密切关系,怎样获取较为完整的网络(供电网和配电网)结构参数和运行参数直接关系到系统的使用效果。所以,在今后的调度运行过程中,调度人员需要注意收集、保存相关的参数和信息。 在使用现有的配电网合环分析系统进行合环分析计算的同时,我们将继续对该系统进行深入的研制和开发。一方面,要与地区电网的实时系统相联,确保得到及时、准确的网络运行参数[4];另一方面,要在系统中加入配电网合环操作专家系统,不但给出计算结果,同时提供解合环的操作指导,辅助运行人员进行决策,为配电网能够更加安全、经济地运行提供依据。 c.功率因数 由于在实际运行时,测得的大多是电流值,不是P,Q值,这样就需要用电流值和功率因数推导出P,Q的大小,而功率因数也非实测值,所以,功率因数的准确与否对合环计算的误差有一定影响。 3.2 馈线负荷分布 配电网是直接面对用户的电力网络,它的负荷分布大致是均匀的,所以,系统所用的负荷模型将负荷位置置于中间。但在实际情况下,负荷位置处在靠前或靠后的地方,这就需要运行人员对实际的运行情况有所了解,从而得到较为准确的负荷位置,才能有更为准确的计算值。 3.3 数值计算的精度 由于在该系统中,计算机处理数值部分用的是单精度的处理方法,即精确到小数点后6位,不断累加后,误差必然增加。双精度的处理方法将提高系统计算的准确度。 综上所述,影响系统计算精度的因素是多方面的。根据实际情况,该系统在计算模型上采取了一定的措施,如电压的自动调整、负荷位置的选择等,保证了实际工程的准确度,用户使用起来也很方便。 4 结语 苏州配电网合环分析系统结合苏州地区的电力结构特点,从潮流的角度对合环操作进行指导。其计算模型合理,结果准确,界面友好,使用方便,为生产调度部门提供了有效的工具,在苏州调度现场投运后受到用户好评。 通过对该系统的开发和研制可以看出,合环操作虽然在配电网上进行,但它与供电网有着密切关系,怎样获取较为完整的网络(供电网和配电网)结构参数和运行参数直接关系到系统的使用效果。所以,在今后的调度运行过程中,调度人员需要注意收集、保存相关的参数和信息。 在使用现有的配电网合环分析系统进行合环分析计算的同时,我们将继续对该系统进行深入的研制和开发。一方面,要与地区电网的实时系统相联,确保得到及时、准确的网络运行参数[4];另一方面,要在系统中加入配电网合环操作专家系统,不但给出计算结果,同时提供解合环的操作指导,辅助运行人员进行决策,为配电网能够更加安全、经济地运行提供依据。 |


