广州地铁五号线第三方水平位移监测的实践
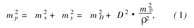
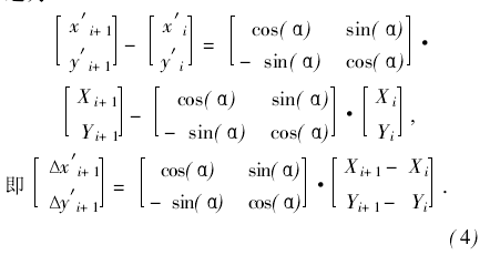
| 城市地铁一般沿密集城区建设,其土建施工对场地及周围建、构筑物带来的安全影响深受业主及社会的密切关注。土建施工第三方监测是在地铁施工中,相对于土建承包商和业主(或施工监理)监测而言,引入有资质的专业监测单位实施的监测工作。第三方水平位移监测的对象一般针对基坑(或竖井)的围护结构,其目的是为施工区安全稳定性判断提供独立、公正、及时、准确的监测数据信息。 1 地铁土建施工对第三方水平位移监测的影响特点 地铁线路一般沿城市地下通过,其土建施工是在各施工工点以基坑(或竖井)方式垂直开挖数十米,在基坑(或竖井)开挖完成的基础上进行地铁线路隧道施工。施工工点距离周围原有建、构筑物一般较近,且情况复杂;施工场地普遍较狭小,其四周一般都修建高度大于2m的围蔽墙;场地内一般建有办公、生活设施,摆放各种建筑材料和施工设备, 并进行施工用材的现场加工。同时,基坑开挖过程中,多工种交叉作业,开挖引起的振动、扬尘,电焊产生的弧光和烟雾,机械作业引起的热浪等流动和非流动障碍普遍存在。由此可见,第三方水平位移监测受场地限制和施工影响较大,监测工作离不开施工方的理解与积极配合。 2 第三方水平位移监测采用的方法及其精度分析 水平位移监测一般采用基准线法、极坐标法、前方交会法、后方交会法、精密导线测量法等。根据施工监测的时效性要求,考虑地铁土建施工的各种影响,宜使用高精度仪器,采用简易、省时、精度可靠的监测方法。工作中我们使用TCA2003智能型全站仪,主要采用极坐标施测法,个别工点也采用了基准线法。以下分析采用TCA2003全站仪按极坐标法作水平位移监测的精度。 按文献[3],极坐标法水平位移点位中误差计算公式为 ![]() 式中,mp为位移点点位中误差,mx、my分别为纵、横坐标中误差,D为站点至监测点的距离,mD为距离观测中误差,mβ为测角中误差。 ![]() 式中,a、b分别为测距仪固定误差和比例误差。可见,位移点点位误差与观测距离和测角中误差均成正比例关系。 文献[1]对水平位移测量一等精度要求为:变形点的点位中误差±1.5mm。而TCA2003智能全站仪标称精度为:方向测回中误差±0.5″,测距精度±(1mm+1ppm)。即当测角误差不大于0.707″、距离不大于244m时,用此仪器按极坐标法作水平位移监测,按(2)式计算的点位精度可达到一等监测精度要求。如果将最大施测距离限制在200m内,则mp=±1.38mm,此时若按mx和my对mp为等精度影响,可得mx=my=±0.98mm。因基坑监测一般顾及垂直于基坑边线方向的位移量,故采用TCA2003全站仪施测,观测距离在200m以内,则水平位移监测之位移分量精度可达±1mm以内(广州地铁对水平位移监测要求最小监测精度为±1mm)。此距离限制值也与TCA2003全站仪操作手册介绍的采用自动照准方式作水平角观测时获得最佳观测精度的距离范围相吻合。 以上讨论是基于仪器和镜站都不含对中误差条件下成立的。故采取强制对中措施是保障极坐标法水平位移监测精度的客观要求。 3 第三方水平位移监测的实施 3.1 水平位移监测标志的设立 采用极坐标法监测,首先需在监测场地建立工作基点。因土建施工场地状况十分复杂,工作基点位置须通过第三方与施工方作深入的沟通来确定。选定工作基点位置考虑的重点是要保证点位的安全、稳定,使之与各监测点通视,且尽量考虑不致受到施工的影响。 考虑到成本原因,制作单位普遍采纳旋进式强制对中观测墩标志,如图1所示。该种观测墩工件比较简单,加工难度不大。其对中标志的加工要点:用20mm直径不锈钢杆(长度适当),一端按仪器连接杆螺纹尺寸加工,将加工好的不锈钢杆垂直焊接在带中心孔的普通钢板上,螺纹部份露出钢板面,使其适合仪器旋紧。该部件需安装在按文献[2]要求埋设的观测墩上部。观测墩地面高度以1.2~1.3m为宜。 ![]() 水平位移监测点系在基坑围护结构冠梁顶建立监测墩标志。监测墩浇筑在基坑围护结构桩(墙)顶,与围护结构形成整体。监测点墩与工作基点墩外观基本相同,只是尺寸可小一点,其高度不作要求,能测到即可。监测点因位于施工范围内,为防破坏应对其加设保护装置。 3.2 工作基点的测定 根据监测需要,每个监测场地布设2~4个工作基点。工作基点应相互通视或组成三角形,便于检查校核。将工作基点与业主提供的地铁施工专用控制点(已知点)组成监测控制网,按文献[1]变形监测网的技术要求,采用TCA2003智能全站仪施测。对监测控制网作严密平差计算,其各项精度指标满足规范要求才能作为监测起算数据。 水平位移监测系从基坑开挖开始,基坑土建施工完毕并稳定为止,一般工期较长,故工作基点的稳定性检查十分重要。现场一般采用多测回实测固定角和固定边的方法对工作基点进行检核。应充分利用基点之间的通视条件及周围明显稳定标志(如避雷针等),以检测、判断工作基点的稳定性。当检查固定边或角超过规定限差时,应分析原因,对不稳定点进行恢复测量或对监测控制网进行重新施测、平差。 3.3 极坐标法水平位移监测的外业观测 采用TCA2003全站仪进行极坐标法水平位移外业观测,其水平角、边长观测测回数一般不低于两测回,边、角观测的各项限差执行文献[2]要求。通过二次开发,TCA2003全站仪可按测回法作水平角、垂直角和距离自动观测,也可使手动和自动观测相结合。观测中对各项限差作自动检查,并将观测数据存储于符合PCMCIA标准的“MC”数据卡中,MC卡与电脑进行数据交换处理获得监测所需的数据。采用TCA2003进行水平位移监测应注意以下几点: 1)宜采用徕卡TCA仪器专配反光镜。TCA2003全站仪自动观测模式系采用独有自动目标识别(ATR)装置,其标配原棱镜常数为零。非徕卡反光镜虽也能用于TCA仪器,但需作严格常数测定和改正。 2)监测前应按操作手册要求对TCA2003仪器进行双轴补偿纵、横向指标差(l,t);垂直编码度盘指标差(i);水平视准差(c);水平轴倾斜误差(a)和自动目标识别光轴的准直差(ATR)等项内容的测定和修正,并使这些补偿改正功能处于工作状态。 3)应避免在振动干扰严重时进行观测,此时仪器2C变动将出现异常,无法达到规范限差要求。 4)TCA启动测距时,如有人通过视线引起短时遮挡将引起距离测量值的异常,此时的距离观测值应予剔除。 5)应对所用反光镜进行编号,使反光镜按号对应所测监测点,减少反光镜差异带来的监测误差。架设反光镜时,应用全站仪进行方向和俯仰角校准,使其保持对准状态。 6)除应对观测距离作仪器加、乘常数和倾斜改正,还应作气温、气压实测改正。 7)初始值应在开工前作两次独立观测,两次观测值满足规范限差要求时取其中数作为最终初始值。 8)第三方水平位移监测需克服其它方干扰独立开展工作。仪器操作应遵循细致、精准的原则。同时在施工环境中应采取有效措施,保证人身及仪器、反光镜等设备的安全。 此外,第三方监测在作专业量测的同时,还须进行施工影响环境巡查和工况记录。对监测时间、天气、施工进度及施工工序、地下水位变化情况、地表及周边建(构)筑物是否出现裂缝和其它施工影响区异常征兆做好记录,并在监测报告中予以详实说明。 4 水平位移量的计算方法 通过极坐标法测量获得的是位移点在地铁施工测量坐标系下的坐标值。水平位移量是指位移点沿垂直于基坑边线方向的偏移值。以下探讨水平位移量的计算方法: 在实际工程中,基坑形状往往为非直角多边形,经常出现曲线形基坑。如图2所示,XOY为施工测量坐标系,x′oy′为与XOY共原点的参考坐标系。P(X,Y)和P(x′,y′)为位移点P分别在施工测量坐标系和参考坐标系中的坐标。α为位移点P沿基坑边垂线(且指向基坑内)在施工测量坐标系中的坐标方位角。参考坐标系x′轴系施工测量坐标系X轴旋转α角且与P点基坑边的垂线平行。由坐标系旋转变换原理[4]可得 ![]() 即以施工测量坐标系中按极坐标法施测的位移点坐标P(X,Y)、位移点基坑边的垂线坐标方位角(可在基坑电子平面图上获得),可由方程(3)求得位移点在参考坐标系中的坐标值。设本次监测为第(i+1)次,前次监测为第i次(i≥1),则位移量计算可表达为 ![]() 按(4)式解算的Δx′i+1即为P点在基坑边的垂线方向的位移量。该差值也符合位移往基坑内数值为正,往基坑外数值为负的理解习惯。此法需在初次监测时,解求每个位移点基坑边垂线(指向基坑内)的坐标方位角。 上述水平位移量计算方法,是以各监测点的基坑边垂线(方向指向基坑内)方位角为参数,将施工测量坐标系下监测坐标通过坐标系换算直接求得位移量。该方法适用于所有形状的基坑,且可通过编程提高计算效率。 ![]() 5 第三方水平位移监测的频率及预报警机制 广州地铁五号线第三方水平位移监测的频率为:基坑开挖阶段正常情况下1次/3d;开挖结束进入结构施工期1次/7d;主体结构完工后稳定阶段一般1次/2周。当监测数据稳定,报经业主同意可结束监测。施工过程中,当变形超过有关标准或场地条件变化较大时,要求加密至两天或一天一次。当有危险事故征兆时,须进行连续监测。 本项目支护结构桩(墙)顶水平位移警戒值按30mm与0.1H%(H为基坑深度)取小值确定。当水平位移监测点位移量达到警戒值的70%时,监测方需按要求提出预警报告。当监测结果达到警戒值时,监测单位须立即向业主代表进行口头报警,并协助其处理好相关事宜。 第三方监测应建立与业主、监理和承包商各方顺畅的联络沟通机制。监测作业队伍应具备快速反应能力,不但要确保按正常频率做好监测工作,还要满足业主对监测工作的临时调配。为满足地铁建设信息化施工的需要,需利用现代信息技术对监测数据进行科学分析和处理,利用网络技术将监测结果快速准确的发布提交,并按施工设计要求建立有效的监测预、报警机制。 6 结束语 广州地铁土建施工第三方监测的实施,是业主为地铁工程土建施工加设的一道安全防线,适合我国在重大工程建设领域与国际接轨的要求。第三方监测以专业化的作业水准,采用先进的技术手段,提供客观、独立、迅速准确的变形监测数据,为有关各方对地铁工程土建施工信息化管理提供了必要的科学依据。 水平位移监测是第三方监测的重要一环。采用简易可行、精确的监测手段,提供可靠的变形监测数据,为监视基坑施工对周边环境造成的影响及预防安全事故的发生起到重要作用。作业人员应不断积累施工监测经验,使第三方监测技术不断完善、提高。 |






