基于空间电压矢量控制的光伏水泵变频电源研究
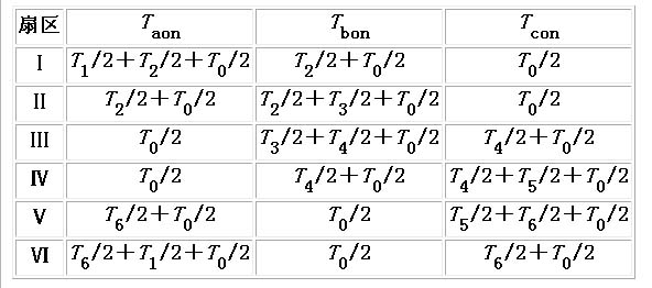
| 引言 目前,我国面临着实现经济和社会可持续发展的重大挑战。我国矿物能源的储量令人非常堪忧,为实现可持续发展,必须实施新的能源发展战略,采用新技术。 实践证明光伏发电技术是解决那些太阳能丰富的边远无电地区用电问题的有效技术之一。常规的小功率光伏水泵系统,其供电电压较低,难以实现远距离和深井提水,且机泵为专用型,成本较高。为克服以上问题,研制了针对通用型潜水泵的变频驱动电源。系统采用数字信号控制器dsPIC30F2010做控制器,它兼有单片机的高性能和DSP的计算能力;采用IPM智能模块PS21564做三相全桥变频电路,利用它可以大大缩小系统体积并提高可靠性;采用空间电压矢量控制技术提高电压利用率和减小冲击电流;采用高效的DC/DC升压拓扑提高整机的效率。力求使系统效率高、成本低、体积小、通用性强及安全可靠。本文主要介绍系统构成和控制策略的研究结果。 1 系统构成 1.1 系统整体构成 如图1所示,系统由光伏阵列、DC/DC升压环节、变频环节和光伏水泵4部分组成。本系统采用DC/DC升压变换后,利用变频技术驱动高电压等级通用潜水电泵,可以实现远距离和深井提水。升压环节利用一种高效率的新型DC/DC升压拓扑,以提高系统效率。变频环节选用数字信号控制器(DSC)控制,其强大的计算能力保证了控制策略的顺利实施。 ![]() 图1 系统结构图 1.2 DC/DC升压环节 根据系统的设计思想,反激式变换器、推挽式变换器及全桥变换器等DC/DC拓扑各有些不足[1]。如反激式变换器输出电压纹波较大且变压器利用率较低,一般运用在小功率场合;推挽式变换适合低压输入、较大功率变换场合但变压器绕制得不好容易出现偏磁现象;全桥变换器功率元件多、成本高,不适合于本系统。综合各方面考虑?系统采用一种新型正激式变换器,即采取在Boost电路上叠加一个正激变换器的方法得到一种新的拓扑结构(拓扑结构如图1所示)。该正激拓扑不需去磁绕组,开关器件少,故效率比其它拓扑要高。 该正激变换器未采用加去磁绕组的方案,去磁由接到变压器T原副边的二极管D1、电容C2来完成。当开关管关断时D1管导通,变压器原边的激磁能量经D1给C2充电,从而实现了去磁功能,并且在开关管导通时C2电压叠加变压器副边电压作为输出电压,给负载提供能量,实现将去磁能量转移到副边给负载提供能量,提高了变压器的利用率。设计时电容C2应确保磁复位。根据电路原理,对拓扑进行了仿真,图2是MATLAB仿真得到的结果。升压环节用UC3842作电压调节芯片并作了斜率补偿,运行稳定,效率可达90%以上。 ![]() 图2 电容C2与C3端电压动态响应曲线 1.3 DC/AC变频环节 变频环节是本系统的核心。SVPWM脉宽计算和最大功率跟踪要求控制器要有较强的计算能力,Microchip的dsPIC数字信号控制器(DSC)既拥有16位闪存单片机的高性能又兼具数字信号处理器(DSP)的计算能力,是本系统的极佳选择。变频主电路选用IPM模块PS21564,它采用第五代IGBT工艺,内置优化后的栅极驱动和保护电路,当有故障发生时模块会及时向控制芯片发出故障信号,确保系统安全。控制芯片计算出三相SVPWM结果直接输送给IPM智能模块,不需再考虑驱动问题,可以减小开发周期,此外,采用该模块还大大减小了系统的体积。 2 控制策略 2.1 控制策略分析 交流变频调速的方法很多,其中以正弦波脉宽调制(SPWM)最为经典,但针对水泵电机而言SPWM存在有些不足。如低次电流谐波含量相对较大[2],以及电压利用率较低(SPWM的最大输出电压调制比仅为78.5%)。潮湿、生锈及闲置等恶劣环境要求机泵在低频时应具有较大的启动转矩,系统采用空间电压矢量控制技术(SVPWM)可很好地解决水泵低频起动和运行问题,并且提高了电压利用率(是SPWM的1.15倍)。系统利用数字信号控制器dsPIC30F2010的强大计算能力、空间电压矢量控制技术及控制调节原理可以实现电机的平稳运行和真正的最大功率调节(TMPPT)。同时针对光伏水泵的各种运行情况实施了水位打干、堵转、过欠压及过流等多种保护功能,确保水泵安全可靠运行。 2.2 电压矢量控制分析 空间电压矢量技术是一种磁链轨迹法,目的在于使交流电机产生圆形磁场。它是以三相对称正弦波电源供电时交流电机产生的理想磁链圆为基准,通过选择功率器件的不同开关模式,使电机的实际磁链尽可能逼近理想磁链圆,从而生成SVPWM波。 根据空间电压矢量控制原理三相空间电压矢量共有8个[3],除两个零矢量外,还有6个非零矢量对称均匀分布在复平面上,对于任一扇形区域中的电压矢量V*,均可由该扇形区域两边的空间电压矢量来合成。如图3所示。有文献给出过各个扇区中矢量合成时的开关顺序及时间信号推算过程,但多比较复杂,下面给出一种比较容易理解的算法。 ![]() 图3 空间矢量及其合成示意图 例V*在Ⅰ扇区时,则V*可由V1、V2和V0或者V7合成,依据平行四边形法则有: ![]() =V*(1) 式中:T1,T2分别为V1,V2开关周期中持续时间; Ts为PWM开关周期。 令零矢量V0或者V7的持续时间共为T0,则有 T1+T2+T0=Ts(2) 令V*与V1之间的夹角为θ,由正弦定律得: ![]() (3) 又有|V1|=|V2|=2vdc/3,则可得 (4) 式中:m= ![]() m为SVPWM的调制系数。 在实际应用中,为了减少功率器件的开关次数,一般使V0和V7各占一半的零矢量时间,并且在每次切换开关状态时只切换一个功率开关器件,以满足最小开关损耗。根据数字信号控制器dsPIC30F2010中的电机控制PWM模块功能和上面分析的空间电压矢量控制的原理,计算出Ⅰ扇区时两边矢量和零矢量的作用顺序及时间如图4所示。用同样的方法可以算出其它5个扇区的双边矢量和零矢量的开关顺序及时间,如表1所列。 ![]() 图4 第Ⅰ扇区双边矢量开关时间信号 ![]() 表1 各扇区中两边矢量的开关时间信号 2.3 TMPPT最大功率跟踪 由于光伏阵列输出特性的非线性特征,必须考虑使光伏系统在不同日照、温度以及不同负载特性条件下都工作在光伏阵列输出特性的最大功率点上,从而充分利用太阳电池阵列吸收的太阳能。通常最大功率跟踪有CVT(Constant Voltage Tracking)方式和TMPPT(True Maximal Power Point Tracking)两种方式。CVT方式可以近似获得光伏阵列的最大功率输出,软件上处理比较简单。但实际应用中温度和日照强度变化都相当大,这些都会引起太阳能光伏阵列最大功率点电压的偏移。在这种情况下采用CVT方式就不能很好地跟踪最大功率点,TMPPT意思是“真正的最大功率跟踪”控制,即保证系统不论在何种日照及温度条件下,始终使太阳能光伏阵列工作在最大功率点处。本系统水泵电机功率采用SVPWM控制,即可以凭借SVPWM控制技术直接调整光伏阵列的输出功率,以使太阳能光伏阵列输出当前日照和环境温度条件下的最大功率。本系统凭借数字信号控制器有DSP的功能,系统采用实时搜索最大功率点的办法[4]。实时判断搜索的方向和计算搜索的幅度以逼近最大功率,最大功率跟踪控制动态过程如图5所示。 ![]() 图5 TMPPT最大功率点跟踪控制过程 3 实验结果 按照上述的设计思想制作了一台样机。实验证明系统可以安全稳定运行,各项功能均可实现,达到了设计目的。图6是利用SVPWM控制时相电压的理论波形,图7是系统在30Hz时A、B两相相电压经过RC滤波后的波形,比较图6和图7可知,实际得到的波形和理论波形是一致的。图8是系统带水泵电机工作在30Hz时,在A相上串接采样电阻测到的电流波形。实验验证了系统构成和控制策略的正确性。 ![]() ![]() ![]() 4 结语 该系统有如下显著优点: (1)采用空间电压矢量控制技术(SVPWM)很好地解决了水泵低频起动和运行问题; (2)采用一种高效率的新型正激式变换器,其无须去磁绕组,结构简单,可以有效地提高整机效率; (3)数字信号控制器和IPM智能模块可以保证控制策略的实现,且使系统体积小,安全可靠; (4)该系统可以适应通用型水泵的驱动控制,且成本较低,对光伏水泵系统的推广应用具有重要意义。 |










