在集成系统中测量温度介绍
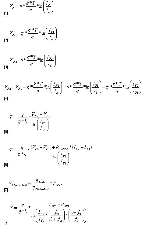
随着处理器速度提高并消耗更多功耗,热管理成为所有使用微控制器的器件中的日益重要的问题。由于热管理变得日益重要,所使用的技术变得更复杂和有条件限制。然而,归其根本,热管理归结为测量温度以及驱动如风扇、液体冷却系统和时钟节流(clock throttling)等冷却机制。 温度测量得越准确,就越能驱动精细调节冷却机制。这有益于省电(对于驱动冷却机制)、改善性能并提供更清洁的声学环境。 根据系统要求,可以有多种在集成系统中进行温度测量的方法。这些方法的实例包括热偶、热敏电阻和最常用的解决方案热二极管。热偶是已知热性能的金属回路。电流通过回路,测量电压从而测量回路的阻抗。结果是,随着温度升高阻抗发生变化。 与电偶类似的一种器件是热敏电阻。这种器件被构造成其阻抗直接与温度成线性。为了使用热敏电阻准确测量温度,必须知道流入器件的电流,器件上测量的电压必须非常准确。 使用热偶和热敏电阻电路测量温度可行也不昂贵。在许多应用中,它们就足够了。然而,它们并不容易适用于delta测量,它们可测量的精度受到限制。 稍微复杂一些但十分常见的测量温度的方法是利用二极管相对于温度的正向电压(VF)特性。在给定电流下,二极管的正向电压由方程1(见附录)给出。 直接测量VF的一个问题在于IS条件高度依赖于温度,它意味着方程式VF(T)不存在封闭解,变得非常难以预测。此外,很难产生不随电源、处理变化和温度而发生变化的精确的电流源。 由于对数特性,如果VF在两个独立温度下测量,两次测量的差将根据温度线性变化,而不存在条件。此外,线性条件是电流比率的函数,它相当平坦且不依赖于反过来影响单电流源的工作条件。方程式2-4(见附录)说明了delta VF如何以代表电压的方程式4而确定,在进行温度测量时常常对电压进行估计。 图1显示了温度和Delta VF之间的理想关系。在这一曲线中,η系数精实地等于1.000,而IF2 / IF1之比等于是17。很容易说明,该比率常被用于温度监测以达到良好的匹配特性。
很多热传感二极管包括连接到离散晶体管(如2N3904)的二极管,或衬底晶体管的基极-发射结。采用晶体管代替二极管的工作基本原理仍然适用,而上述二极管方程式适用于以VBE(或者对于PNP型器件是VEB)代替VF,以及以IC代替IF的晶体管。 对于一级操作,方程式5(见附录)显示了所测量的对探险测温度的关系。由方程式4(见附录)可见,温度1℃的变化相应于VF约244μV的变化。这一很小的值通常被做乘法,然而通过模数转换器(A/D转换器)进行测量,然后采用数个通信协议发射至微控制器。 在对这么小的电压的测量中的任何误差,都会给最终测量的温度造成很大影响。有4个主要误差源将影响ΔVBE数值,并最终影响报告的温度。误差源为串连阻抗、二极管方程式的理想值(η)、噪声注入和晶体管的非理想beta值。 串连阻抗直接影响ΔVBE的测量,增加了由用于测量温度的绝对电流差所决定的偏移量。如果不忽略该串连阻抗,方程式5变成方程式6(见附录)。 如方程式6所示,串连阻抗产生根据串连阻抗值而变化的温度读数的偏移。图2显示了相对于该串连阻抗的单一温度的温度误差。
理想因子值η是一个基于晶体管结构的物理特性。对于任何特定器件而言,该值是一常数,虽然对于不同器件有所变化。当理想因子值不等于1.000或不等于温度监视器配置的理想因子时,它就会造成误差。在方程式5中,温度测量反比与该值,如果它不同于理想值(或预期值),它将产生一个与温度不一致的乘法放大值。 下面图3显示了由于各种理想因子失配而引入的有效误差。
噪声注入更难以用绝对值进行量化。VBE测量通常在特定的频率进行,并通过一个低通滤波器。二极管噪声注入的大部分被衰减,然而,由于低通滤波器并不理想,噪声残余会产生DC偏移。由于A/D转换器对VBE测量的DC值进行取样,通过通常模式的注入,一些噪声无法去除,因而在温度测量中产生偏移。噪声误差的大小由注入的噪声以及测量电路的滤波能力所决定。 最后一个误差源是由于大多数测量二极管在实际中是晶体管或VBE结而引入的。在二极管中,IF值设置为正向电压VF。当使用连接至晶体管或衬底VBE结的二极管时,被驱动流入二极管的电流,和被设为一个确切比率的电流,为发射极电流,尽管集电极电流决定VBE电压。发射极电流和集电极电流之间的关系已知,并且这里beta会有影响。图4显示了连接晶体管作为热二极管的几种常见配置。
Beta的绝对值不重要,也不造成测量误差。重要的是在工艺变化或工作条件变化时,beta不是一个恒定值。Beta随温度变化,但更重要的是,它将作为晶体管中集电极电流的结果而变化。Beta改变测量电流的比率,并因而像理想因子值η一样加大偏移。 如方程式8中所示(见附录),如果β2 = β1 = β,那么分母中自然对数的每两项等于1,方程式8变成方程式5。同样地,随着β增加,beta失配的作用越来越小。在许多分立式晶体管器件中,beta为50-100的数量级,然而在衬底PNP器件中,beta的大小常常小于1,甚至低至0.25。 如图5中所示,仅为1的beta变化将引起0.75度的误差。在很小几何尺寸的器件中,在所用电流范围beta变化可高达35%。
由于每种误差源是独立的,每种都必须单独解决以纠正所测量的温度。如我们看到的,即使是很小的失配或误差,都能引致所测温度中很大的误差。这一误差要求热测量系统必须具有更大的误差容许量(margin-for-error),它反过来不需要最佳的冷却解决方案。降低或消除温度测量中的主要误差源可以提高热管理系统的节电效率。 附录/方程式 其中: VF = 二极管正向电压 VBE = 晶体管基极-发射极电压 IF = 流入二极管的电流 IE = 流入晶体管发射极的电流 IS = 二极管或晶体管的饱和电流 η = 二极管的理想因子(额定值1.00) k = Boltzmann常数 = 1.381e-23 q = 电子电荷 = 1.602e-19 T = Kelvin温度 =℃温度 + 273.15 |
