选择CMOS图像传感器的4个评估公式及其意义
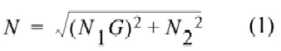
CMOS传感器大约一半的芯片面积由图像传感器占用,其它部分由模拟和数字电路以及信号通路构成。双模拟信号通路用于加快阵列的读出。该模拟信号通路位于像素输出和列放大器之间,列放大器通过该模拟通路可以对一整行像素同时采样。列放大器被选中时,输出到可编程增益放大器(PGA)。PGA提供1到40的8位可编程增益范围,使像素信号电平与模数转换器的输入范围相匹配,以减小量化噪声。模数转换器(ADC)也采用了类似的结构,具有功耗低、分辨率高且不需校准等优点。 暂态读噪声、固定模式噪声和传感器的ISO速度对图像质量有严重影响,因而也影响图像输出显示和打印的效果。本文介绍影响图像CMOS图像传感器质量的主要因素,有助于中国工程师正确选择CMOS图像传感器。 暂态读噪声 暂态读噪声是与时间无关的信号电平随机波动,它由基本噪声和电路噪声源产生。光子散射噪声不包括在该范围内。当有效信号幅度很小时,读噪声会对信号处理产生很大的影响。 暂态读噪声源存在于像素、列放大器、PGA和ADC中。完整的暂态读噪声(N)模型可以用以下公式表示: 在此公式中,N1是在PGA之前引入的被放大的噪声部分,N2是在PGA之后引入的未被放大的噪声部分,G是PGA的增益。测量结果显示当PGA输入基准读噪声N1=20个电子、N2 =56个电子时(PGA的增益G=1.0),全部读噪声N=60个电子。N2几乎代表了全部的ADC量化噪声。如果PGA的最小增益设置成2.0,PGA输入基准读噪声可以进一步减小。这是在满足像素输出电压线性范围与ADC输入电压范围匹配的条件下,最小PGA增益的最佳设置。PGA输入基准读噪声N2减少到28个电子时,全部读噪声可以减少到34个电子(当G=1.0时,相对于60个读噪声电子提高了14.8dB)。 该电平可以与读噪声大约为10到15个电子的模拟输出的CCD相当。如果考虑相关双重采样(CDS)放大器、PGA、ADC和电路噪声等CCD之后的噪声源,CCD系统的实际的读噪声大大地增加。如果CCD的转换增益和CMOS的转换增益相当,ADC 的最低位(LSB)也会产生读噪声,其大小和CMOS图像传感器相当。 对于线性容量大约是62,500个电子的CMOS传感器,相应优化的动态范围(PGA增益Gmin=2.0)是65.3dB。因此,使用这样的传感器可以精确地获取动态范围比较大的图像。在线性范围内,光子散射噪声的信噪比大约是48dB。大的线性容量范围和较高的光子散射噪声信噪比实现了很好的图像和打印质量。 当考虑暗电流散射噪声时,整个像素的暗电流是100pA/cm2。暗电流散射噪声可以从暗信号的均值估计出来,如下所示: 公式中Nd是暗电流散射噪声(电子数)的均方根值,Sd是暗信号(以DN为单位),g是像素转换增益(DN/电子)。曝光时间为30毫秒时,暗电流散射噪声估计是4.3个电子,它对整个读噪声(N=34个电子)的影响可以忽略。 固定模式噪声 固定模式噪声(FPN)是指非暂态空间噪声,产生原因包括像素和色彩滤波器之间的不匹配、列放大器的波动、PGA和ADC之间的不匹配等。FPN可以是耦合的或非耦合的。行范围耦合类FPN噪声也可以由较差的共模抑制造成。 平面上的非耦合FPN测量值小于1%,而列上的耦合FPN大约是0.5%。耦合的行范围FPN表现为漂移错误,而不是增益错误,其测量值小于0.2LSB,而且只有在高PGA增益和非饱和传感器数字输出的情况下才能检测到。传感器较低的FPN指标不需要除去暗帧,简化了图像获取过程。 ISO速度 CMOS传感器的ISO速度是由满足给定的信噪比图像质量所需要的曝光等级值估计得到的。假定光源是晴朗的太阳光,黑体辐射温度是5,500K。SNR的定义包括读噪声、光子散射噪声和FPN。 ISO速度用曝光等级(Em)定义,公式如下: 上述公式中,Em用单位勒/秒度量。曝光时间以秒为单位,由下面的公式给出: 图1表示单色CMOS传感器的ISO速度和SNR间的关系, PGA增益G分别等于1、2、5或10。 当PGA增益G=1.0时,SNR=10(可接受的打印图像质量)则ISO速度大约是3,500,SNR=40(很好的打印图像质量)则ISO速度大概是600。当PGA增益增大时,SNR最终受到光子散射噪声限制而不能无限提高,这是因为ADC量化噪声的相对抑制作用(如图1所示),相应的受光子散射噪声限制的ISO速度分别是8,000和1,000。 由于使用了大的像素尺寸(9×9微米),而且量子效率高,所以得到了较高的ISO速度。 由于采取了以下措施,CMOS传感器可以获得高质量图像:1.像素采样噪声抑制;2.减小电路噪声对像素噪声的影响;3.抑制共模输入和基片噪声;4.排除模拟通路漂移;5.降低量化噪声;6.减小暗电流;7.提高量子效率。前5个措施可以通过优化电路设计而实现,后两个则由工艺过程来决定。 我们可以看到,高质量的数字图像获取不再是CCD的专利了。CMOS低泄漏工艺和精心的模拟电路设计相结合可以降低暂态和固定模式噪声。 |
