多单元高压变频器中点漂移法分析
| 1、引言 随着国内高压变频器的普及,级连多单元多电平变频器依靠灵活的模块化结构,特别是低压IGBT器件的价格优势,其应用越来越广泛。例如基于580V标准单元的模块化结构,通过改变级连的单元数量,从3单元、6单元到10单元可以完全满足国内3kV、6kV和10kV电机的驱动需要。实际应用中发现,在多单元变频器运行时,因为装置所含半导体元器件数量众多,偶发的单元故障会带来停机或降容运行的结果。如何在一个或少数几个模块故障时,维持电机不停机运行,等待检修时机,是广大变频器厂商和用户极为关心的问题。 模块化变频器自身提供冗余的办法很多,如级连单元时,采用模块冗余法就是一种。该方法是建立在单元内部的所有零部件在故障模式下没有引起火灾、电气短路等恶性事故的前提下,依靠单元内部的旁路系统,提供故障单元的功能切除,同时将处于热备份状态的单元功能充分利用,保证系统的全额输出。该方法备份单元无显性定位,靠变频器系统的总输出能力体现。例如6kV系统,使用8个580V单元,冗余两个模块,可靠性提高到原来的2.6倍。 如果没有冗余模块,也可利用中点漂移的方法,达到在部分单元故障状态下,提高系统输出电压。其它还有提高模块直流电压、注入零序分量法等。 当前市场上使用的变频器,出于成本因素,无论用户还是制造厂大都不选择模块冗余方式,从而中点漂移法成为部分单元故障时提高装置输出电压的首选方法。本文对此进行分析和比较。 2、中点漂移法基本原理 1998年,国外某变频器公司提出了基于中点漂移的PWM控制算法,其基本思路可用图1表示。
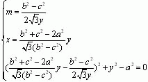
图1 中点漂移法基本原理 变频器作为一个柔性变换的三相交流电源,以无中线的方式与电机连接,故而只要电机端的线电压为对称三相即可。如图1中,三相线电压构成一个等边三角形。级连多单元多电平变频器采用星型连接,各相电压如图1中的abc三条线段。如果它们彼此相等,则中点位于该等边三角形的中心、重心和垂心三个重合的点处。 如果某些个单元发生了损坏,使得三个线段不再能够相等,则可以采用漂移中点的方法,改变PWM控制的相电压参考信号之间的夹角,达到输出线电压对称的目的。只有对称的线电压,才能在电机内形成圆形旋转磁场,从而减少逆序等引起的转矩脉动和电机径向磁拉力带来的振动。 由于变频器一般都使用计算能力相对较弱的微控制器来进行控制,因此在线计算不同单元故障时的中点漂移策略相对困难,离线计算的数据用查表法来生成故障时的调制方案是一个简单的解决思路。 角度计算主要依据简单的几何关系,如余弦定理: (1) 其中a∈[0,NA>,b∈[0,NB>,c∈[0,NC>,NA,NB,NC是各相剩余的完好单元数,不妨设NA,NB,NC按降序排列。不难看出,舍弃A、B相多于C相的单元,以NC来考虑对称输出,是最简单的方法,称为对称切除。但是逆变器最大输出电压降低到原来的(NCN)×100%,影响了可用最大输出电压。 公式(1)中的变量有7个,[mc,a,b,c,α,β,γ>,方程有4个,限定条件可以增加变量均为非负实数,寻优的目标是等效相电压mc最大。 为了简化分析,可以将a、b、c固定为NA、NB、NC,去掉3个未知数,则方程可解。第一步去掉变量mc,得到 (2) 令x=cos a,y=cos b,考虑到a, b, g的取值范围均在[0, 1800>以内,余弦值单调,正弦值非负,故有: (3) 进一步化简为: (4) (5) 简化到对最后一个一元非线性方程的求解问题,且可用的变量范围为x∈[-1,1>,但是未必一定有解。如[NA,NB,NC>=[6,5,0>时,除非选择[a,b,c>=[5,5,0>。 在以上的分析中,假设了浮动后的中点在三角形以内,以满足等效相电压最大的要求。不失一般性,浮动后的中点也可能在三角形以外,如图2所示。
图2 中点远近漂移对比 图2中,设b、c相剩余单元数量相同,A相最多,那么图中的P点为漂移后的中点,以Nb或Nc为半径画圆,AP的长度等于Na,A点固定,以A点为端点作与AP夹角为30°的两条射线,分别与先前的圆有两个、一个或者没有交点。有两个交点时,可得到三角形AB′C′和ABC,那么对于三角形ABC而言,中点漂移到了三角形以外。若设b=c,等效的相电压为m,则根据余弦定理有: (6) 显然,2b≥a有实根,a=2b时只有一个根,前述圆成为两条射线的内切圆,b即内切的圆的半径。按a和b的大小关系分类情况如下: ![]() 如图2所示,在第三种情况下,输出可有两种,二者相差很大,浮动后的中点不在三角形内部,产生的输出幅值小,其中有功功率会在不同相发生交换,只具有纯数学价值。 当三相剩余的完好单元数均不相等的时候,除可按照式(1)~式(5)进行计算外,还可以按照下述方法。不妨设a>b>c,合成后等效为m,则浮动中点P位于以A、B、C为顶点的3个半径为a、b、c的圆的交点上,如图3所示。
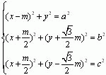
图3 三相剩余单元均不相等时的漂移 以图中坐标,设P(x, y),则有: (7) 3个方程,3个未知数,化简为: (8) 求解时,只要使y在[0,b>内即可,使用牛顿法可以快速计算出结果。但是解不唯一。以单元剩余[6 5 4>时为例,可得到两种结果,如图4所示。公式(8)的第三个方程关于y有两次过零,得到大小迥异的两种漂移结果。 中点在三角形内部得到的输出电压较大,在外部得到的输出电压很小,且存在变频器相间功率交换,一般舍弃不用。
图4 以6、5、4单元数漂移得到的两种结果 3、中点漂移计算结果 应用上述公式,以6单元系统为例,不同剩余单元数需要的角度和等效结果如附表所示。符号见图1。 附表 不同情况漂移中点角度计算结果
有效组合共有(7+6+5+4+3+2+1=28)种可能,扣除(a>b+c)的12种情况,剩余16种组合有23个结果,其中多出来的7个存在中点浮动到了三角形之外的情况,予以舍弃。对于更多的如10单元系统,参照上述公式,不难计算,此处不再赘述。 4、对比分析 与上述方法相比较,目前大部分制造厂都在使用对称切除法,即某个单元故障以后,切除另外两相的对应单元,这样就会有功能良好的单元被浪费,从而减少了输出电压。以[6,6,5>剩余为例,比较两种方法得到的线电压如图5所示。
图5 中点漂移与对称切除 ABC为单元全好时,面积最大;A′B′C为中点漂移法,面积次大;A″B″C对称切除法,面积最小。图中可以看到,中点漂移法很大程度的发挥了剩余单元的作用,是一个有效的方法。 中点漂移后的电压角度如附表所示,其中不再相差120°的电角度,都具有很不规则的数据。如果在进行PWM调制处理时,不能有效去除该因素带来的影响,反而会在输出电压中产生因为不对称造成的逆序,危害电机的正常运行。一般说,故障切除的单元总数不应超过总单元数的20%,如6单元变频器,4个以上的单元损坏应立即停机或者降容使用。 5、结束语 本文通过对中点漂移法的基本原理进行分析,得到了具体漂移的角度和需要注意的问题,经过验证,数据是准确的,对级连多单元多电平变频器的性能提高有一定指导作用。 |


(1)
(2)
(3)
(4)
(5) 
(6) 

(7)
(8) 

